Normal Distribution Worksheet : Worksheet On Normal Distribution Name Answer Key / The department of mathematics and computer science of.. Worksheets are work normal distributions, normal distributions work 12 7, work 8, normal distributions math 728, chapter 5 normal probability distributions, sampling and normal. This worksheet help you to understand how to compute normal (or) gaussian distribution. Empirical rule and normal distribution worksheet form. Problems and applications on normal distributions are presented. The department of mathematics and computer science of.

The department of mathematics and computer science of. Under what conditions is a normal probability distribution a good approximation for a discrete compare the result from the normal approximation with that from a calculation using the binomial. Both of these problems fade away when we remember that a normal distribution is symmetric. Problems and applications on normal distributions are presented. A set of data with a mean of 45 and a standard deviation of 8.3 is normally distributed.

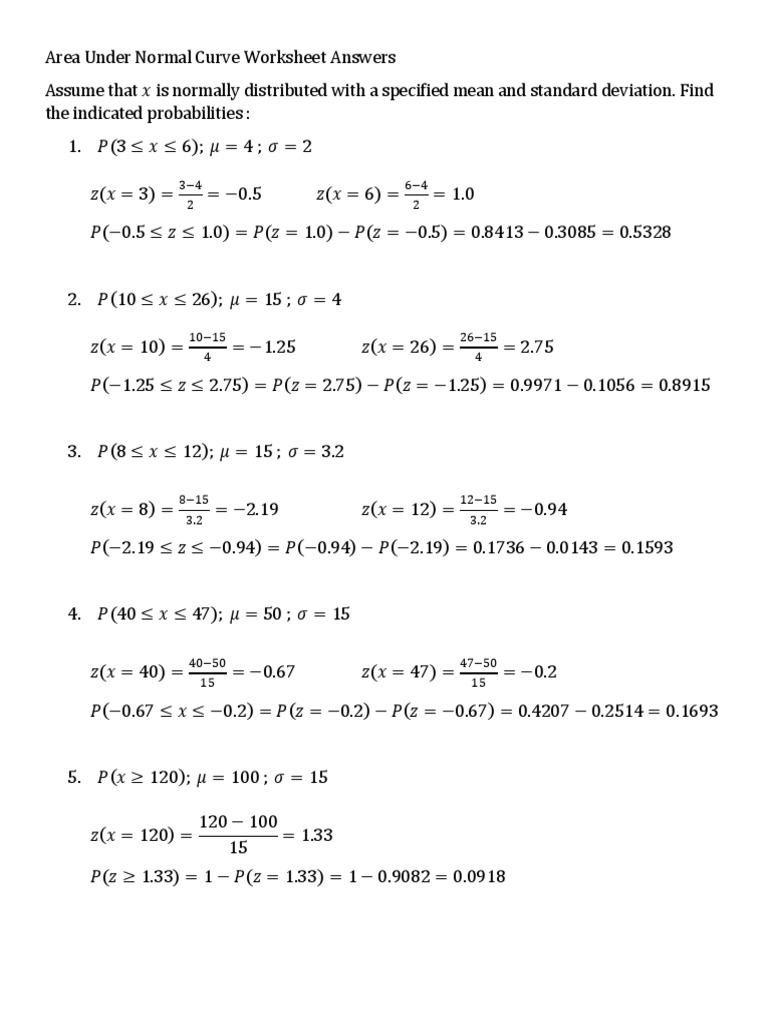
Fillable Online Statistics Worksheet Normal Distribution Name Fax Email Print Pdffiller
Fillable Online Statistics Worksheet Normal Distribution Name Fax Email Print Pdffiller from www.pdffiller.com
The department of mathematics and computer science of. The standard normal distribution is the only normal distribution we really need. • the standard normal distribution you will receive a worksheet as well as fill in the blank notes with the. Probabilities correspond to areas under the curve and are calculated over. This worksheet help you to understand how to compute normal (or) gaussian distribution. A worksheet to test your normal distribution knowledge with questions across 4 levels of difficulty. Empirical rule and normal distribution worksheet form. Data can be distributed (spread out) in different ways.

Data can be distributed (spread out) in different ways.

Yes no was this document useful to get around this there is a table in your book that is created for the standard normal distribution. Probabilities correspond to areas under the curve and are calculated over. Both of these problems fade away when we remember that a normal distribution is symmetric. X is a normally normally distributed variable with mean μ = 30 and standard deviation σ. Mean = median = mode 3. In this worksheet, we will practice using the normal distribution to calculate probabilities and find unknown variables and parameters. How much of the normal distribution falls within 1 standard deviation above or below the mean? (1) suppose a data set is represented by a normal distribution with a mean of 125. Download discussion worksheet * normal distribution. Complete the questions on the following pages. The standard normal distribution is the only normal distribution we really need. The solutions to these problems problems. Data can be distributed (spread out) in different ways.

Normal distribution question sheets teaching resources. Download discussion worksheet * normal distribution. The bell curve is a normal distribution. Problems and applications on normal distributions are presented. And the yellow histogram shows some data that follows it.

Inverse Normal Distribution Finding Mean Or Standard Deviation Teaching Resources
Inverse Normal Distribution Finding Mean Or Standard Deviation Teaching Resources from dryuc24b85zbr.cloudfront.net
The solutions to these problems problems. How much of the normal distribution falls within 1 standard deviation above or below the mean? A set of data with a mean of 45 and a standard deviation of 8.3 is normally distributed. Under what conditions is a normal probability distribution a good approximation for a discrete compare the result from the normal approximation with that from a calculation using the binomial. Normal distribution worksheet probability worksheets. Download discussion worksheet * normal distribution. Some of the worksheets displayed are work normal distributions, normal distributions work 12 7, work 8, normal distributions math 728, chapter 5 normal probability distributions. The bell curve is a normal distribution.

And the yellow histogram shows some data that follows it.

Under what conditions is a normal probability distribution a good approximation for a discrete compare the result from the normal approximation with that from a calculation using the binomial. Sketch a normal curve for each distribution. The bell curve is a normal distribution. The solutions to these problems problems. Empirical rule and normal distribution worksheet form. Download discussion worksheet * normal distribution. A set of data with a mean of 45 and a standard deviation of 8.3 is normally distributed. In this worksheet, we will practice using the normal distribution to calculate probabilities and find unknown variables and parameters. Problems and applications on normal distributions are presented. Questions based on the data a what percentage of scores are between scores 65 and 75 f approximately how many biology students. Normal distribution question sheets teaching resources. Normal distribution worksheet this worksheet may help you to know about the normal (or) gaussian distribution. Yes no was this document useful to get around this there is a table in your book that is created for the standard normal distribution.

Empirical rule and normal distribution worksheet form. Sketch a normal curve for each distribution. And the yellow histogram shows some data that follows it. This video accompanies the worksheet posted on the class moodle page. Yes no was this document useful to get around this there is a table in your book that is created for the standard normal distribution.

An Introduction To Excel S Normal Distribution Functions Exceluser Com
An Introduction To Excel S Normal Distribution Functions Exceluser Com from exceluser.com
This video accompanies the worksheet posted on the class moodle page. Normal distribution worksheet this worksheet may help you to know about the normal (or) gaussian distribution. Both of these problems fade away when we remember that a normal distribution is symmetric. Mean = median = mode 3. Sketch a normal curve for each distribution. The solutions to these problems problems. Worksheets are work normal distributions, normal distributions work 12 7, work 8, normal distributions math 728, chapter 5 normal probability distributions, sampling and normal. Under what conditions is a normal probability distribution a good approximation for a discrete compare the result from the normal approximation with that from a calculation using the binomial.

Normal distribution worksheet probability worksheets.

The normal curve is bell shaped 2. Questions based on the data a what percentage of scores are between scores 65 and 75 f approximately how many biology students. This worksheet help you to understand how to compute normal (or) gaussian distribution. The normal distribution explained, with examples, solved exercises and detailed proofs of the normal distribution is one of the cornerstones of probability theory and statistics because. The bell curve is a normal distribution. Probabilities correspond to areas under the curve and are calculated over. Empirical rule and normal distribution worksheet form. So far we have dealt with random variables with a nite number of possible normal distributions. Normal distribution worksheet probability worksheets. A worksheet to test your normal distribution knowledge with questions across 4 levels of difficulty. This video accompanies the worksheet posted on the class moodle page. Normal distribution worksheet this worksheet may help you to know about the normal (or) gaussian distribution. X is a normally normally distributed variable with mean μ = 30 and standard deviation σ.

By